Category Archives: healthcare

Use iodine against Bad breath, Bad beer, Flu, RSV, COVID, monkeypox….

We’re surrounded by undesired bacteria, molds, and viruses. Some are annoying, making our feet smell, our teeth rot, and our wine sour. Others are killers, particularly for the middle aged and older. Despite little evidence, the US government keeps pushing masks and inoculations with semi-active vaccine that does nothing to stop the spread. Among the few things one can do to stop the spread of disease, and protect yourself, is to kill the bacteria, molds and viruses with iodine. Iodine is cheap, effective even at very low doses, 0.1% to 10 parts per million, and it lasts a lot longer than alcohol. Dilute iodine will not dye your skin, and it does not sting. A gargle of iodine will kill COVID and other germs (e.g. thrush) and it has even been shown to be a protective, stopping COVID 19 and flu even if used before exposure. On a more practical level. I also use it to cleanse my barrels before making beer — It’s cheaper than the Camden they sell in stores.

Iodine is effective when used on surfaces, and most viruses spread by surfaces. A sick person coughs. Droplets end up on door knobs, counters, or in your throat, leaving virus particles that do not die in air. You touch the surface, and transfer the virus to your eyes and nose. Here’s a video I made. A mask doesn’t help because you rub your eyes around the mask. But iodine kills the virus on the surface, and on your hands, and lasts there far longer than alcohol does. Vaccines always come with side-effects, but there are no negative side effects to sanitization with dilute iodine. Here is a video I did some years ago on the chemistry of iodine.

Robert Buxbaum, February 1, 2023. I don’t mean to say that all bacteria and fungi are bad, it’s just that most of them are smelly. Even the good ones that give us yogurt, beer, blue cheese, and sour kraut tend to be smelly. They have the annoying tendency to causing your wine to taste and smell like sour kraut or cheese, and they cause your breath and feet to smell the same. If you’re local, I’ll give you some free iodine solution. Otherwise, you’ll have to buy it through REB Research.

Birth dearth in China => collapse? war?

China passed us in life-expectancy in 2022, and also in fertility, going the other way. In China lifespan at birth increased to 77.3 years. In the US it dropped an additional 0.9 years, to 76.8. US lifespans suffered from continuing COVID and an increase in accidents, heart disease, suicide, drugs, and alcohol abuse. Black men were hit particularly hard, so that today, a black man in the US has the same life expectancy as he would in Rwanda. China seems to have avoided this, but should expect problems due to declining fertility and birth rates.

China passed us in life expectancy in 2022.

Fertility rates will eventually burden the US too, as US fertility is only slightly greater than in China, 1.78 children per woman, lifetime, compared to 1.702 in China. But China has far fewer people of childbearing ages, relatively, and only 47% are women. Three decades of one child policy resulted in few young adults and a tendency to abort girls. Currently, the birthrate in China is barely more than half ours: 6.77 per 1000, compared to 12.01 per 1000. And the proportion of the aged keeps rising. China will soon face a severe shortage of care-givers, and an excess of housing.

Years of low birthrate preceded the “Lost decades” of financial crisis in Japan and the USSR. Between 1990 and 2011, business stagnated and house prices dropped. China faces the same; few workers and more need for care: it’s not a good recipe.

Beginning about 1991, Japan saw a major financial collapse with banks failing, and home values falling. China seems over-due.

Few children also signals a psychic lack of confidence in the country, and suggests that, going forward, there will be a lack of something to work for. Already Chinese citizens don’t trust the state to allow them to raise healthy children. They have stopped getting married, especially in the cities, and look more to have fun.

Affluent women claim they can’t find a good man to marry: one who’s manly, who will love them, and who will reliably raise their standard of life. Women seem less picky in China’s rural areas, or perhaps they find better men there. However it goes, urban women get married late and have few children, both in China and here. China produces great, sappy, soap operas though: a country girl or secretary in a high-power job meets a manly, urban manager who lovers her intensely. A fine example is “The Eternal Love” (watch it here). It involves time travel, and a noble romance from the past. Japan produced similar fiction before the crisis. And a crisis seems to be coming.

While Japan and Korea responded quietly to crisis and “the lost decades,” allowing banks to fail and home values to fall, Russia’s response was more violent. It went to war with Chechnya, then with Belarus and Ukraine, and now with NATO. I fear that China will go to war too — with Taiwan, Japan, and the US. It’s a scary thought; China is a much tougher enemy than Russia. There is already trouble brewing over new islands that they are building.

Robert Buxbaum January 25, 2023. If you want to see a Korean soap opera on the Secretary – manager theme, watch: “What’s wrong with Secretary Kim”. (I credit my wife with the research here.) I suspect that Americans too would like sappy shows like this.

Almost no one over 50 has normal blood pressure now.

Four years ago, when the average lifespan of American men was 3.1 years longer than today, the American Heart Association and the American College of Cardiology dropped the standard for normal- acceptable blood pressure for 50+ years olds from 140/90 to 120/80. The new standard of normal was for everyone regardless or age or gender despite the fact that virtually no one over 50 now reached it. Normal is now quite un-common.

By the new definition, virtually everyone over 50 now is diagnosed with high blood pressure or hypertension. Almost all require one or two medications — no more baby aspirin. Though the evidence for aspirin’s benefit is strong, it doesn’t lower blood pressure. AHA guidance is to lower a patients blood pressure to <140/90 mmHg or at least treat him/her with 2–3 antihypertensive medications.4 

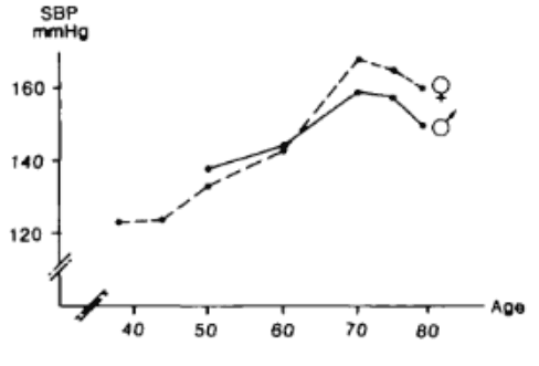
Average systolic blood pressures for long-lived populations of men and women without drugs.

The graphs shows the average blood pressures, without drugs in a 2008 study of the longest-lived, Scandinavian populations. These were the source of the previous targets: the natural pressures for the healthiest populations at the time, based on the study of 1304 men (50-79 years old) and 1246 women (38-79 years old) observed for up to 12 years. In this healthy population, the average untreated systolic pressure is seen till age 70, reaching 154 for men, and over 160 for women. By the new standards, these individuals would be considered highly unhealthy, though they live a lot longer than we do. The most common blood-pressure drug prescribed in the US today is atenolol, a beta blocker. See my essay on Atenolol. It’s good at lowering blood pressure, but does not decrease mortality.

The plot at left shows the relationship between systolic blood pressure and death. There is a relationship, but it is not clear that the one is the cause of the other, especially for individuals with systolic pressure below 160. Those with pressures of 170 and above have significantly higher mortality, and perhaps should take atenolol, but even here it might be that high cholesterol, or something else, is causing both the high blood pressure and the elevated death risk.

The death-risk difference between 160 and 100 mmHg is small and likely insignificant. The minimum at 110 is rather suspect too. I suspect it’s an artifact of a plot that ignores age. Only young people have this low number, and young people have fewer heart attacks. Artificially lowering a person’s blood pressure, even to this level does not make him young, [2][3] and brings some problems. Among the older-old, 85 and above, a systolic blood pressure of 180 mmHg is associated with resilience to physical and cognitive decline, though it is also associated with higher death rate.

The AHA used a smoothed version of the life risk graph above to justify their new standards, see below. In this version, any blood pressure looks like it’s bad. The ideal systolic pressure seems to be 100 or below. This is vastly too low a target, especially for a 60 year old. Based on the original graph, I would think that anything below 155 is OK.

smoothed chart of deaths per 1000 vs blood pressure. According to this chart, any blood pressure is bad. There is no optimum.

Light exercise seems to do some good especially for the overweight. Walking helps, as does biking, and aerobics. Weight loss without exercise seems to hurt health. Aspirin is known to do some good, with minimal cost and side effects. Ablation seems to help for those with atrial fibrillation. Elequis (a common blood thinner) seems to have value too, for those with atrial fibrillation — not necessarily for those without. Low sodium helps some, and coffee, reducing gout, dementia and Parkinson’s, and alcohol. Some 2-3 drinks per day (red wine?) is found to improve heart health.

I suspect that the Scandinavians live longer because they drink mildly, exercise mildly, have good healthcare (but not too good), and have a low crime rate. They seem to have dodged the COVID problem too, even Sweden that did next to nothing. it’s postulated that the problem is over medication, including heart medication.

Robert Buxbaum, January 4, 2023. The low US lifespan is startling. Despite spending more than any other developed countries on heath treatments, we have horribly lower lifespans, and it’s falling fast. A black man in the US has the same expected lifespan as in Rwanda. Causes include heart attacks and strokes, accidents, suicide, drugs, and disease. Opioids too, especially since the COVID lockdowns.

Coffee decreases your chance of Parkinson’s, a lot.

Some years ago, I thought to help my daughter understand statistics by reanalyzing the data from a 2004 study on coffee and Parkinson’s disease mortality, “Coffee consumption, gender, and Parkinson’s disease mortality in the cancer prevention study II cohort: the modifying effects of estrogen” , Am J Epidemiol. 2004 Nov 15;160(10):977-84, see it here

For the study, a cohort of over 1 million people was enrolled in 1982 and assessed for diet, smoking, alcohol, etc. Causes of deaths were ascertained through death certificates from January 1, 1989, through 1998. Death certificate data suggested that coffee decreased Parkinson’s mortality in men but not in women after adjustment for age, smoking, and alcohol intake. They used a technique I didn’t like though, ANOVA, analysis of variance. That is they compare the outcome of those who drank a lot of coffee (4 cups or more) to those who drank nothing. Though women in the coffee cohort had about 49% the death rate, it was not statistically significant by the ANOVA measure (p = 0.6). The authors of the study understood estrogen to be the reason for the difference.

Based on R2, coffee appears to significantly decrease the risk of Parkinson’s mortality in both men and women.

I thought we could do a better by graphical analysis, see plot at right, especially using R2 to analyze the trend. According to this plot it appears that coffee significantly reduces the likelihood of death in both men and women, confidence better than 90%. Women don’t tend to drink as much coffee as men, but the relative effect per cup is stronger than in men, it appears, and the trend line is clearer too. In the ANOVA, it appears that the effect in women is small because women are less prone Parkinson’s.

The benefit of coffee has been seen as well, in this study, looking at extreme drinkers. Benefits appear for other brain problems too, like Alzheimer’s. It seems that 2-4 cups of coffee per day also reduces the tendency for suicide, and decreases the rate of gout. It seems to be a preventative against kidney stones, too.

There is a confounding behavior that I should note, it’s possible that people who are genetically inclined to Parkinson’s don’t drink coffee, or the those who feel signs of Parkinson’s stop drinking it. I doubt this is what’s going on, given the study’s design, but it’s worth a mention. The same confounding is present in a previous analysis I did that suggested that being overweight protected from dementia, and from Alzheimer’s. Maybe pre-dementia people start loosing weight long before other symptoms appear.

Dr. Robert E. Buxbaum, and C.M. Buxbaum, December 15, 2022

The main building block of Alzheimer’s research was faked. Now, what.

Much of health research is a search for simple, bio-molecular causes for our medical problems. These can result in pill-solutions. Diseases tend to be more complex, but Alzheimers seemed to work that way, until this summer when it turned out that the data supporting the simple theory was faked. Alzheimer’s is a devastating cognitive disease that is accompanied by a degenerating brain, with sticky, beta-amyloid plaques and tangles. About 16 years ago, this report, published in Nature seemed to show that a beta-amyloid, Aβ*56, caused the plaques and caused cognitive decline independent of any other Alzheimers indicators. 

The visual difference between an Alzheimer brain and a normal brain is that the former has shrunk. Maybe fat is relevant, fat body leads to a fat brain, and less AZ, maybe?

We were on the way to a cure, or so it seemed. Several studies by this group backed the initial results, and much of Alzheimer’s research was directed into an effort to fill in the story, and find ways to reduce the amount and bonding of this amyloid and others like it. Several other groups claimed they could not find the amyloid at all, or show that amyloids caused the symptoms described. But most negative results went unpublished. The theory was so satisfying, and the evidence from a few so strong, that the NIH poured billions into this approach, over $1B in this year alone. The FDA approved aducanumab, a drug from Biogen, on the assumption that it should work, even though it showed little to no benefit, and had some deadly side effects. Other firms followed, asking for approval of related anti-amyloid drugs that should work.

When news of the fraud came out, detected by Matthew Scragg and a few lone curmudgeons, stock prices plummeted in the drug companies. It now appears that the original work was made up, presented to journals and to the NIH using photoshopped images. For the group that did the fake work, it may mean jail time, for most other groups, the claim is that their work is still relevant. Doctors still prescribe the medications as they have nothing better to offer (Aducanumab therapy costs $50,000 per year). Maybe it’s time to start looking at alternative approaches and theories, sidelined over the last 16 years.

Some alternative theories posit that another molecule is responsible, particularly tau, associated with the tangles. Another sidelined theory is that amyloids are good. For example, that it’s the loss of soluble amyloids that causes Alzheimer’s. Alternately, that inflammation is the root cause, and that the amyloid plaques and tangles are a response to the inflammation, a bandage, perhaps. These theories could explain why the anti-amyloid drugs so often resulted in patient death.

It could be that high bmi protects from dementia. Either that or the diseases that cause weight loss cause dementia. It’s debated here.

It’s also possible that the inability of nerve cells to dispose of waste is the cause of AZ. In heathy people, waste is removed through acidic enzymes within lysosomes. Patients with decreased acid activity have a buildup of waste that includes amyloids. Perhaps the cure is to restore the acid enzymes.

My favorite theory is based on statistical data that shows that fat people are less likely to develop Alzheimers. This might lead to a junk-food cure. The fitness industry is very much against this theory–It’s debated here. They tend to support the inflammation model, claiming that diseases cause Alzheimer’s and cause patients to loose weight first. Could be. I note that Henry Kissinger is the only active politician of my era, the early 70s, still alive and writing intelligently.

Robert Buxbaum, November 17-19, 2022. I hope that Matthew Schragg comes out OK, by the way. Ben Franklin pointed out, that “No good deed goes unpunished.”

Eliquis, over-prescribed but better than Coumadin.

Eliquis (apixaban) is blood thinner shown to prevent stroke with fewer side effects than Warfarin (Coumadin). Aspirin does the same, but not as effectively for people over 75. My problem with eliquis is that it’s over-prescribed. The studies favoring it over aspirin found benefits for those over 75, and for those with A-Fib. And even in this cohort the advantage over aspirin is small or non-existent because eliquis has far more serious side effects; hemorrhage, or internal bleeding.

Statistically, the AVERROES study (Apixaban Versus Acetylsalicylic Acid to Prevent Stroke in AF Patients Who Have Failed or Are Unsuitable for Vitamin K Antagonist Treatment) found that apixaban is substantially better than aspirin at preventing stroke in atrial fibrillation patients, but worse at preventing heart attack.

Taking 50 mg of Eliquis twice a day, reduces the risk of stroke in people with A-Fib by more than 50% and reduces the rate of heart attack by about 15%. By comparison, taking 1/2 tablet of aspirin, 178 mg, reduces the risk of stroke by 17% and of heart attack by 42%. The benefits were higher in the elderly, those over 75, and non existent in those with A-Fib under 75, see here, and figure. Despite this, doctors prescribe Eliquis over aspirin, even to those without A-Fib and those under 75. I suspect the reason is advertising by the drug companies, as I’ve claimed earlier with Atenolol.

The major deadly side-effect is hemorrhage, brain hemorrhage and GI (stomach) hemorrhage. Here apixaban is far worse than with aspirin (but better than Warfarin). The net result is that in the AVERROES random-double blind study there was no difference in all-cause mortality between apixaban and aspirin for those with A-fib who were under 75, see here. Or here.

To reduce your chance of GI hemorrhage with Eliquis, it is a very good idea to take a stomach proton pump drug like Pantoprazole. If you have A-Fib, the combination of Eliquis and pantoprazole seems better than aspirin alone, even for those under 75. If you have no A-Fib and are under 75, I see no benefit to Eliquis, especially if you find you have headaches, stomach aches, back pain, or other signs of internal bleeding, you might switch to aspirin or choose a reduced dose.

A Japanese study found that half the normal dose of Eliquis, was approximately as effective as the full dose, 50 mg twice a day. I was prescribed Eliquis, full dose twice a day, but I’m under 70 and I have no A-Fib since my ablation.

Life expectancy has dropped in the US to undeveloped world levels. Biden blames COVID and racism. I think it’s too much drugs, and too few opportunities.

I’m struck by the fact that US life expectancy is uncommonly low, lower than in most developed countries. Lower too than in many semi-developed countries, and our life expectancy is decreasing while other countries are not seeing the same. It dropped by about 3 years over the last 2 years as shown. I wonder why the US has suffered more than other countries, and suspect we are over-prescribed. Too much of a good thing, typically isn’t good.

Robert Buxbaum, September 16, 2022. As a side issue, low dose aspirin may forestall Alzheimers and other dementias. See current article here. Also another study here.

Atenolol, not good for the heart, maybe good for the doctor.

Atenolol and related beta blockers have been found to be effective reducing blood pressure and heart rate. Since high blood pressure is a warning sign for heart problems, doctors have been prescribing atenolol and related beta blockers for all sorts of heart problems, even problems that are not caused by high blood pressure. I was prescribed metoprolol and then atenolol for Atrial Fibrillation, A-Fib, beginning 2 yeas ago, even though I have low-moderate blood pressure. For someone like me, it might have been deadly. Even for patients with moderately high blood pressure (hypertension) studies suggest there is no heart benefit to atenolol and related ß-blockers, and only minimal stroke and renal benefit. As early as 1985 (37 years ago) the Medical Research Council trial found that “ß blockers are relatively ineffective for primary treatment of hypertensive outcomes.”

End point. Relative risk. 95% CI. All-cause mortality Cardiovascular mortality MI Stroke Carlberg B et al. Lancet 2004; 364:1684–1689.

There lots of adverse side-effects to atenolol, as listed at the end of this post. More recent studies (e.g. Carlsberg et al., at right) continue to find no positive effects on the heart, but lots of negatives. A review in Lancet (2004) 364,1684–9 was titled, “Review: atenolol may be ineffective for reducing cardiovascular morbidity or all cause mortality in hypertension” (link here). “In patients with essential hypertension, atenolol is not better than placebo or no treatment for reducing cardiovascular morbidity or all cause mortality.” It further concluded that, “compared to other antihypertensive drugs, it [atenolol] may increase the risk of stroke or death.” I showed this and related studies to my doctor, and pointed out that I have averaged to low blood pressure, but he persisted in pushing this drug, something that seems common among medical men. My guess is that the advertising or doctor subsidies are spectacular. By contrast, aspirin has long been known to be effective for heart problems; my doctor said to go off aspirin.

The graph at right is from “Trial of Secondary Prevention with Atenolol after transient Ischemic Attack or Nondisabling Ischemic Stroke”, published in Stroke, 24 4 (1993), (see link here). a Thje study involved 1473 at-risk patients, randomly prescribed atenolol or placebo. It found no outcome benefit from atenolol, and several negatives. After 3 years, in two equal-size randomized groups, there were 64 deaths among the atenolol group, 58 among the placebo group; there were 11 fatal strokes with atenolol, versus 8 with placebo. There were somewhat fewer non-fatal strokes with atenolol, but the sum-total of fatal and non-fatal strokes was equal; there were 81 in each group.

“Trial of Secondary Prevention with Atenolol after transient Ischemic Attack or Nondisabling Ischemic Stroke”, published in Stroke, 24 4 (1993).

Newer beta blockers seem marginally better, as in “Effect of nebivolol or atenolol vs. placebo on cardiovascular health in subjects with borderline blood pressure: the EVIDENCE study.” “Nebivolol (NEB) in contrast to atenolol (ATE) may have a beneficial effect on endothelial function …. there was no significant change in the ATE and PLAC groups.” My question: why not use one of these, or better yet aspirin. Aspirin is shown to be beneficial, and relatively side-effect free. If you tolerate aspirin, and most people do, beneficial has to be better than maybe beneficial.

Among atenolol’s ugly side effects, as listed by the Mayo Clinic, there are: tiredness, sweating, shortness of breath, confusion, loss of sex drive, cold fingers and toes, diarrhea, nausea, and general confusion. I had some of these. There was no increase in heart stability (decrease in A-fib). My heart rate went as low at 32 bpm at night. My doctor was unconcerned, but I was. I suspected the low heart rate put me at extreme risk. Eventually, the same doctor gave me ablation therapy, and that seemed to cure the A-Fib.

Following my ablation, I was told I could get off atenolol. I then discovered another negative effect of atenolol: you have to ease off it or your heart will race. If you have A-fib, or modest hypertension, consider aspirin, eliquis, ablation, or exercise. If you are prescribed atenolol for heart issues and don’t have symptoms of very-high blood pressure, consider other options and/or changing doctors.

Robert Buxbaum, August 14, 2022

Curing my heart fibrillation with ablation.

Two years ago, I was diagnosed with Atrial fibrillation, A-Fib in common parlance, a condition where my heart would sometimes speed up to double its normal speed. I was prescribed metopolol and then atenolol, common beta blockers, and a C-Pap for sleep apnea. None of this seemed to help, as best I could tell from occasional pulse measurements with watch and a finger pulse-oxometer. Besides, the C-Pap was giving me cough and the beta blockers made me dizzy. And the literature on C-Pap did not impress.

So, some moths ago, I bought an iWatch. The current versions allows you to take EKGs and provides a continuous record of your heart rate. This was very helpful, as I saw that my heart rate was transitioning to chaos. While it was normally predictable, it would zoom to 130 or so at some point virtually every day. Even more alarming, it would slow down to the mid 30s at some point during the night, bradycardia, and I could see it was getting worse. At that point, I agreed to go on eliquis, a blood thinner, and agreed to a catheter ablation. The doctor put a catheter into my heart by way of a leg vein, and zapped various nerve centers in the heart. The result is that my heart is back into normal behavior. See the heart-rate readout from my iWatch below; before and after are dramatically different.

My heart rate for the last month, very variable before the ablation treatment, 2 weeks ago; a far less variable range of heart rates in the two weeks following the treatment. Heart rate data is from my iPhone and iwatch — a good investment, IMHO.

The reason I chose ablation over drugs or no therapy was that I read health-studies on line. I’ve go a PhD, and that training helps me to understand the papers I’ve read, but you should read them too. They are not that hard to understand. Though ablation didn’t appear as a panacea, it was clearly better than the alternatives. Particularly relevant was the CABANA study on life expectancy. CABANA stands for “Catheter ABlation vs ANtiarrhythmic Drug Therapy for Atrial Fibrillation – CABANA”. https://www.acc.org/latest-in-cardiology/clinical-trials/2018/05/10/15/57/cabana.

2,204 individuals with persistent AF were followed for 5 years after treatment, 37% female, 63% male, average age 67.5. Prior hospitalization for AF: 39%. The results were as follows:

  • Death: 5.2% for ablation vs. 6.1% for drug therapy (p = 0.38)
  • Serious stroke: 0.3% for ablation vs. 0.6% for drug therapy (p = 0.19)
  • All-cause mortality: 4.4% for ablation vs. 7.5% for drug therapy (p = 0.005)
  • Death or CV hospitalization: 51.7% for ablation vs. 58.1% for drug therapy (p = 0.002)
  • Pericardial effusion with ablation: 3.0%; ablation-related events: 1.8%
  • First recurrent AF/atrial flutter/atrial tachycardia: 53.8% vs. 71.9% (p < 0.0001)

I found all of this significant, including the fact that 27.5% of those on the drug treatment crossed over to have ablation while only 9.2% on the ablation side crossed to have the drug treatment.

I must give a plug for doctor Ahmed at Beaumont Hospital who did the ablation. He does about 200 of these a year, and does them well. Do not go to an amateur. I was less-than impressed with him pushing the beta-blocker hard; I’ll write about that. Also, get an iWatch if you think you may have A-Fib or any other heart problem. You see a lot, just by watching, so to speak.

Robert Buxbaum, August 3, 2022.

Girls are doing better, Boys are doing far worse.

When I began college in 1972, the majority of engineering students and business students were male. They from the top of their high school classes, and from stable homes mostly; they went on to high paying jobs. Boys also dominated at the bottom of society. They were the majority of the criminals, drug addicts, and high-school dropouts. Many went off to Vietnam. Some, those who were handy, went to trade schools and a reasonable life, productive life. Society did not seem bothered by the destruction of boys in prison, or Vietnam, or by drugs, but there was an outcry that so few women achieved high academic levels. A famous presentation of the problem was called “for every 100 girls.” An updated version appears below showing the status as of October, 2021. A more detailed version appears further down.

From the table above, you can see that women are now the majority of those in college, the majority of those with a bachelors degree or higher, and a majority of those with advanced degrees. Colleges added special tutoring, special grants, and special programs. Each college had a Society of Women Engineers office, and similar programs in law and math. All of these explicitly excluded men or highly discouraged their presence. The curriculum was changed too; made more female-friendly. Dirty, and physical experiments were removed, replaced with group analysis of the social interactions — important aspects of engineers that boys were far-less adept at doing well. Perhaps society and engineering is better off now, but boys (men) are far worse off. This is particularly seem by the following chart, looking at the bottom. Boys/men provide the vast majority of the prison population, of those diagnosed as learning disabled, of those expelled, or overdosed, and among the war dead.

I’ve previously noted that a majority of boys in school are considered disruptive, and that these boys are routinely diagnosed as ADHD and drugged. It is not at all clear that this is a good thing, or that the drugs help anyone but the teacher. I’ve also noted that artwork and attitudes that were considered normal for boys are now considered disturbing and criminal like saying I wish the school was blown up. The cure here, perhaps is worse than the disease. I’m not saying that we should encourage boys to say such things, but that we should acknowledge a difference between an active and a passive wish. And we should find a way to educate boys/men so they don’t end up unemployed, addicted, or dead. Currently boy, particularly those at the bottom are on the scrap-heap of society.

Here is some source material for the above:

Robert Buxbaum, May 28, 2022

C-PAPs do not help A-Fib, and seem to make heart health worse.

In this blog-post, I’d like to report on the first random study of patients with Atrial fabulation, A-Fib, and sleep apnea, comparing the health outcome of those who use a C-PAP, a “Continuous Positive Airway Pressure” device, to the outcome those who do not. The original study was published in May, 2021 (read it here) in the American Journal of Respiratory and Critical Care Medicine. The American Journal, Pulmonary Advisor published a more-popular version here.

As a background, if you are over 65 and overweight, there is a 25% chance or so that your heart rate will begin to surge semi-randomly, and that it will flutter. This is Atrial fabulation, A-Fib. It tends to get worse and tends to lead to heart attacks and strokes. People with A-fib tend to be treated with drugs, aspirin, warfarin, beta blockers, and anti arrhythmics. They also tend to be prescribed a C-PAP because overweight, older folks tend to snore and wake up a lot during the night (several times per hour: apnea).

A C-PAP definitely stops the snoring and the Apnea, and the assumption was that it would help your heart as well, if only by giving you a better night’s sleep. As it turns out, the C-PAP seems to decrease heart health — significantly.

For this study, adult patients between 18 and 75 years old diagnosed with paroxysmal A-Fib (that’s occasional AF) were screened for moderate to severe sleep apnea. Those who agreed to participate were randomly assigned to either a treatment of C-PAP plus usual care (drugs mostly) or just usual care for the next 5 months. Of the 109 who enrolled in the study, 55 got the C-PAP plus usual care, 54 got usual care alone. The outcome was that there were 9 serious, adverse heart events (strokes and heart attacks); 7 were in the C-PAP group.

The CPAP pressure was, on average, 6.8 cm H2O; mean time of use was 4.4±1.9 hours per night. The C-PAPs did their jobs on the apnea too, reducing residual apnea-hypopnea to 2.3±1.9 events per hour for those in the C-PAP group.

There was a non-statistically significant reduction is AF among the C-PAP group. They reduced their time in AF by 0.6 percentage points compared to the control group  (95% CI, -2.55 to 1.30; P =.52). That not a statistically significant difference, and is most likely random.

There was a statistically significant decrease in heart health, though. A total of 7 serious adverse events occurred in the C-PAP group and only 2 in the control group. A total of 9 is a relatively small number of events, but there is a strong statistical difference between 7 and 2.

The authors conclude: “CPAP treatment does not seem to reduce or prevent paroxysmal AF.” They should also have concluded that it reduced heart health with a statistical confidence of ~82%: (1-2(36+10)/512) =82%. See more on this type of statistics.

A possible explanation of why a C-PAP would would make heart health worse is an outcome of the this recent sleep study (link here). It appears that the C-PAP helps restore breathing, but by doing so, it interferes with a mechanism the body uses to deal with A-fib. It seems that, for people with A-Fib, their bodies use breathing stoppages to get their heart back into rhythm. For these people, many of their breathing stoppage are not obstructive, but a bio-pathway to raise the CO2 level in the blood and thus regulate heart rate. The use of a C-PAP prevents this restorative mechanism and this seem to be the reason it is destructive to the heart-health of patients with A-fib. On the other hand, a C-PAP does improve the sleep those patients whose apnea is obstructive. It seems to me that sleep studies should do a better job distinguishing the two causes of apnea. C-PAPs seem counter-indicated for patients with A-fib.

Robert Buxbaum, March 30, 2022. I was diagnosed with apnea and A-Fib some years ago. The sleep doctor prescribed a C-PAP and was adamant that I had to use it to keep my heart healthy. There were no random studies backing him up or contradicting him until now.